Eps 比较

Eps线条剪切时应注意的事项 重庆桂豪装饰

雨木林风详解win10系统eps格式转成psd格式的教程 电脑店win10系统

天津eps线条与传统线条的对比 天津山泰装饰材料有限公司
Eps 比较 のギャラリー

泡沫eps线条 我的网站

您知道驻马店eps线条产品应该要怎么样保养检查吗

泡沫eps线条 我的网站

凯里eps门窗线套 厂家 生产厂家 公司 定制 定做 价格 哪家好 贵州博豪欧饰建筑工程有限公司

Eps模块新闻 Eps建筑模块新闻 Eps空腔模块资讯 北京科建利达节能科技有限公司

Ups电源和eps电源的区别 行业动态 新闻中心 新乡市天恒电气科技有限公司

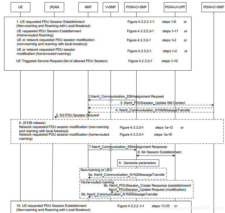
5g 核心网5gs To Eps Handover For Single Registration Mode With N26 Interface Hsk Scnu Csdn博客

Acca Eps 搬运知乎 哔哩哔哩

转载 Arcgis中地图导出格式比较 霸王别姬 新浪博客

河北雪龙机械制造有限公司
你还在怀疑eps线条的质量吗 这篇文章看准了 腾讯新闻

浅析eps 与xps 的外墙外保温体系比较

包装材料中epe Eps都是什么 各自的优缺点有哪些 辽宁省聚利包装材料有限公司

Eps聚苯板与xps挤塑板在经济性和透气性上有哪些 山东跃腾建材厂家

Eps 基本每股收益 知乎

泡沫eps与珍珠棉哪个好

安装eps线条有哪些注意事项 内蒙古松晟源建筑装饰工程有限公司

Dlg用垂直还是倾斜摄影 Pix4d Cc Pscan Eps 几种不同方式的作业模式比较 模型

广发海外 港股eps一致预期有何变化 将如何影响港股 港股eps 消费 保险 智通财经网

关于荆门eps构件的生产工艺方法你都知道哪些 一般来说主要有喷射法和预混法

股票eps怎么看 富诺股票投资网 股票配资公司 线上炒股配资门户 正规股票配资平台

外墙使用eps装饰线条的优势有哪些 高碑店市宁欣建材制造有限公司

Pe牛市与eps牛市给我们的教训和启示 工银深证红利etf联接a Of 股吧 东方财富网股吧

青岛eps构件 这种构件的特点是什么 淄博途翔雕塑艺术品有限公司

论新型建筑装饰材料eps构件和传统grc构件的区别 每日头条

章丘eps泡沫板是什么材质 有什么优势 济南苏田商贸有限公司

Eps材料与epp材料保温效果分析 泡沫包装 Epp材料 Epp包装材料 Epp积木玩具 Epp冷链保温箱 Epp汽车零部件 浙江众创材料科技有限公司

你对eps装饰线条了解多少

Eps 格式的图片裁剪 或去除白边 小鸭索骥

Eps泡沫板厂家

Eps消防应急电源厂家教您如何正确操作 中电动力湖北科技股份有限公司

Eps线条与grc线条哪个比较好 江西欧泰建材有限公司

Eps外墙线条保温功能有哪些 Grc石膏线条 Eps石膏线条 南京石膏线条 南京高派装饰材料有限公司

济南eps线条的价格与保养方法 济南楷东装饰工程有限公司

Eps基本功能与高级功能简析 知乎

Eps线条施工工艺以及注意事项 南京天之痕环境艺术工程有限公司

汽车租赁比较与选择特色网店网站或汽车与汽车网上数字拍卖汽车回顾与历史细节 网店买卖理念图片素材 概念素材 Eps图片格式 Mac下载素材下载

Eps和xps系统的性能比较 行业资讯 沈阳永利围建筑工程有限公司

Eps应急电源的存放条件有什么要求 中电动力湖北科技股份有限公司

Xps和eps系统的性能比较 Xps挤塑板丨聚氨酯板丨聚苯板丨挤塑板厂家丨北京挤塑板 北鹏建材集团股份有限公司

Eps线条的故障有哪些 盛宏建筑材料有限公司贵州分公司

关于eps应急电源与柴油发电机的性能比较

赐你一双 火眼金睛 区别ups电源与eps电源的4大不同 电源管理 电子元件技术网

Eps成品线条 昆明eps成品线条 云南雄途装饰

干货 Eps线条与grc的三点区别

Eps苯板与xps挤塑板的技术参数比较 南昌挤塑板厂家

Eps装饰线条安装技术要求到底有多高 云南雄途装饰

Eps石墨聚苯板与xps挤塑板的差别 石墨聚苯板厂家拥有独立研发技术集开发研制生产于一体 河北五洲开元环保新材料有限公司

Eps板和xps挤塑板的抗拉强度的比较 Jz123供求网

包装材料eps Eps泡沫包装料的主要优点 在东方

Eps和xps系统的性能比较 新闻资讯 保温挤塑板

浅析eps 与xps 的外墙外保温体系比较

Eps 格式的图片裁剪 或去除白边 小鸭索骥

Eps线条是什么 多少钱一米 施工工艺以及怎么保养 每日头条

Eps线条案例 重信 深圳 建设工程有限公司

济南eps线条施工过程中应注意的6点事项 济南深广装饰工程有限公司

Eps泡沫板对人体有危害吗 行业动态 西安eps装饰构件 西安grc装饰构件 西安外墙保温材料 西安楷博新型建材有限公司

Eps线条您比较在意的几点 龙岩市亿众仁工贸有限公司

电动机防晃电电源 H600 防晃电电源 H600

使用过后的四川eps构件还可以再回收吗

包装材料eps Eps泡沫包装料的主要优点 在东方

Eps保温板是什么eps保温板有什么特点 长春人人装修网

鸿鼎给大家分析eps线条与grc线条有什么区别

国盛证券张启尧 从pe到eps A股如何走向价值三部曲 新浪财经 新浪网

Eps聚苯板与xps挤塑板在经济性和透气性上有哪些 山东跃腾建材厂家

如何保障eps线条安全性 公司新闻 扬州优客家装饰工程有限公司
建筑外墙装饰eps线条与grc线条的性能比较

股票eps是什么指标 Eps的含义 建设银行 久驰股票网

什么是每股收益率 Eps Youtube

你了解山东eps线条吗 购买eps应注意什么 山东诚楷建筑装饰工程有限公司

产地货源免开模具泡沫免模包装材料

如何正确区分grc构件和eps构件 济南深广装饰工程有限公司

Eps挤塑板与xps挤塑板的强度比较 行业动态 西安保温板 Eps保温板 泡沫板厂 聚苯乙烯泡沫板 真金板 陕西挤塑板 西安顶美保温材料有限公司

稳定极速赛车平台 极速赛车平台

挤塑板对比于其他保温材料有什么区别 郑州欧诺建材有限公司

沈阳eps电源介绍

Eps泡沫厂 岳池县恒泰泡沫销售加工部

别以为eps模块只能建小别墅 这些大体量的模块建筑将颠覆你的认知 案例

比较下eps板和xps挤塑板的抗拉强度

河北雪龙机械制造有限公司
Eps线条能取代grc构件吗

包装材料eps Eps泡沫包装料的主要优点 在东方

建房大比拼 Eps模块建房vs红砖建房

Eps欧式构件的优点中哪些比较突出 安徽鸿腾雕塑有限公司

安全座椅eps与epp区别 泡沫包装 Epp材料 Epp包装材料 Epp积木玩具 Epp冷链保温箱 Epp汽车零部件 浙江众创材料科技有限公司

对于eps线条细节部位施工有什么技巧呢

Eps应急电源的存放条件有什么要求 中电动力湖北科技股份有限公司

济南eps线条存在有哪些性能优势 山东诚楷建筑装饰工程有限公司

福州eps Xps与pu保湿材料的区别 Ag广东会 Welcome

上海华馗电力高级机电工程师讲述 Eps消防应急电源与柴油发电机的比较 上海华馗电力

Epp板硬度怎么样 浙江众创材料科技有限公司

Eps应急电源蓄电池备用时间标准是多少分钟 Min

西安eps线条材料运用于道路上的优点有哪些 西安兵雨装修装饰工程有限公司

Eps保温系统与聚氨酯保温系统之比较 岩棉板生产厂家 外墙保温材料 玻璃棉卷毡 玻璃棉板 成都忆创建材

沈阳eps构件安装和施工的流程介绍 沈阳金红源装饰装修有限公司

Eps保温板与xps保温板有什么区别

博世ibooster与zf的eps结构的异曲同工 知乎